Завдання 1-14 мають по п'ять варіантів відповіді з яких тільки ОДИН ПРАВИЛЬНИЙ. Виберіть правильну, на Вашу думку, відповідь і позначте її у таблиці "відповідь до завдання"
Завдання №1
2(5x + 6) = | А | Б | В | Г | Д | | 10x + 12 | 10x + 6 | 7x + 8 | 7x + 12 | 5x + 8 |
Завдання №2
Знайдіть значення виразу  , якщо  .
Завдання №3
| А | Б | В | Г | Д | | lg5 | 5 | lg20 | 2 | 0,5 |
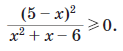
Завдання №4
Розв’яжіть нерівність | А | Б | В | Г | Д | | (–∞ ; –3) ∪ (2; 5] | (–3; –2) ∪ [5; +∞) | (–∞; –3) ∪ (2; +∞) | (–∞; –2) ∪ (3; +∞) | (–3; 2) ∪ {5} |
Завдання №5
Розв'яжіть рівняння  .
Завдання №6
Розв'яжіть рівняння  .
Завдання №7
З-поміж наведених графіків укажіть графік функції
Завдання №8
Знайдіть множину значень функції
Завдання №9
На рисунку зображено графік функції  і дотичну до нього в точці з абсцисою  . Знайдіть значення  .
Завдання №10
Знайдіть первісну функції  , графік якої проходить через точку з координатами (1;4).
Завдання №11
Комп’ютерна програма видаляє у восьмицифровому числі одну цифру навмання. Яка ймовірність того, що в числі 12506975 буде видалено цифру 5?
Завдання №12
Кола з центрами в точках О 1 та О 2 дотикаються зовні (див. рисунок). Радіус більшого кола в 3 рази перевищує радіус меншого кола. Обчисліть довжину відрізка О 1О 2, якщо довжина меншого кола дорівнює 10π см. Уважайте, що кола лежать в одній площині. | А | Б | В | Г | Д | | 10 см | 24 см | 30 см | 15 см | 20 см |
Завдання №13
Прямі а та b мимобіжні. Які з наведених тверджень є правильними? І. Прямі а та b перетинаються. ІІ. Прямі а та b лежать в одній площині. ІІІ. Існує пряма, паралельна прямій а, що перетинає пряму b. | А | Б | В | Г | Д | | лише І | лише ІІ | лише ІІІ | лише І та ІІ | І, ІІ та ІІІ |
Завдання №14
У прямокутній системі координат у просторі знайдіть відстань від точки M(0; 8; 6) до осі Оу.
У завданні 15 до кожного з трьох рядків інформації у лівій колонці, виберіть один, на вашу думку, правильний варіант у правій колонці. Поставте позначки в таблиці «Відповідь до завдання» на перетині відповідних рядків і колонок.
Завдання №15
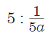
Установіть відповідність між виразом (1 – 4) та тотожно рівним йому виразом (А – Д), якщо a - довільне додатнє число. | Вираз | Тотожно рівний вираз | | 1 | а– 1 | | 2 |  | | 3 |  | | | А | – а | | Б |  | | В | a | | Г | a2 | | Д | 25a | |
Розв'яжіть завдання 16-21. У клітинку "відповідь до завдання" введіть число. Якщо число містить дробову частину, то між цілою та дробовою частиною поставте КОМУ. Інші символи комп'ютерна програма відзначить як помилку.
Завдання №16
Обчисліть
Завдання №17
Знайдіть найбільше ціле значення параметра а, при якому система  має розв'язком точно 2 пари чисел  .
Завдання №18
Розв'яжіть систему рівнянь  Запишіть у відповідь добуток  , якщо пара  є розв'язком вказаної системи рівнянь.
Завдання №19
Визначте додатнє значення параметра a, за якого площа фігури, обмеженої лініями  (дмв. рисунок), y = 0 та x = a, дорівнюює 192 кв.од.
Завдання №20
Діагональ BD прямокутної трапеції ABCD є бісектрисою кута ADC й утворює з основою АD кут 30° (див. рисунок). Визначте довжину середньої лінії трапеції ABCD (у см), якщо BD = 20  см.
Завдання №21
Прямокутний паралелепіпед з довжиною ребер 5 см, 7 см і 9 см складено з кубиків з довжиною ребра 1 см. Скільки доведеться забрати кубиків, щоб вилучити весь зовнішній шар товщиною в один кубик?
|