Завдання 1-14 мають по п'ять варіантів відповіді з яких тільки ОДИН ПРАВИЛЬНИЙ. Виберіть правильну, на Вашу думку, відповідь і позначте її у таблиці "відповідь до завдання"
Завдання №1
Яке з наведених чисел є раціональним числом?
Завдання №2
Завдання №3
Обчисліть  , якщо  . | А | Б | В | Г | Д |  | 2 | 3 |  | 4 |
Завдання №4
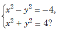
Скільки всього розв’язків має система рівнянь | А | Б | В | Г | Д | | жодного | один | два | три | більше трьох |
Завдання №5
Укажіть корінь рівняння sin4x = –1
Завдання №6
Якому з наведених проміжків належить корінь рівняння log 3x = –2? | А | Б | В | Г | Д | | (-4;-1] | (-1; 2] | (2; 5] | (5; 8] | (8; 11] |
Завдання №7
На рисунку зображено графік залежності шляху S (у км), пройденого групою туристів, від часу t (у год). Яке з наведених тверджень є правильним? | А | Б | В | Г | | Зупинка тривала 4 години. | До зупинки туристи пройшли 20 км. | Після зупинки туристи пройшли більшу відстань, ніж до зупинки. | Туристи зробили зупинку через 4 години після початку руху. |
Завдання №8
Функція y = f(x) є спадною на проміжку (-∞;+∞). Укажіть правильну нерівність. | А | Б | В | Г | Д | | f(1) > f(-1) | f(1) < f(8) | f(1) > f(0) | f(-1) < f(0) | f(1) > f(10) |
Завдання №9
Знайдіть ординату точки на параболі  , в якій кутовий коефіцієнт дотичної до параболи дорівнює 8. | А | Б | В | Г | Д | | –15 | –5 | –1 | 16 | 15 |
Завдання №10
Обчисліть  . | А | Б | В | Г | Д | | 3 | ln 2 | ln 3 | −3 | 1 |
Завдання №11
Діаграма, зображена на рисунку, містить інформацію про кількість електроенергії (у кВт • год), спожитої певною сім’єю в кожному місяці 2012 року. Користуючись діаграмою, установіть, які з наведених тверджень є правильними. І. У грудні порівняно з липнем спожито електроенергії більше, ніж у 2 рази. ІІ. За всі літні місяці спожито електроенергії на 150 кВт • год менше, ніж за всі весняні місяці. ІІІ. Середньомісячне споживання електроенергії за рік є більшим за 120 кВт • год.  | А | Б | В | Г | Д | | лише І | лише І і ІІ | лише І і ІІІ | лише ІІ і ІІІ | І, ІІ і ІІІ |
Завдання №12
На рисунку зображено ескіз емблеми фірми N. Емблема має форму кола, всередині якого розміщено 3 однакових півкола. Один кінець кожного півкола збігається з центром кола, інший кінець лежить на колі. Виготовлення емблеми (усіх її елементів), радіус якої дорівнює 2 м, потребує використання гнучкого матеріалу вартістю 100 грн за 1 м довжини. Укажіть серед наведених найменшу суму грошей, якої вистачить на придбання цього матеріалу для виготовлення емблеми. Вважайте, що місця з’єднання елементів емблеми, позначені на рисунку точками, не потребують додаткових витрат. | А | Б | В | Г | Д | | 3000 грн | 2720 грн | 2540 грн | 2310 грн | 2170 грн |
Завдання №13
Завдання №14
Ортогональною проекцією відрізка з кінцями у точках А(−1; 0; 5) і В(−1; 0; 8) на координатну площину xy є | А | Б | В | Г | Д | | пряма | промінь | відрізок | точка | фігура, що відрізняється від перелічених |
У завданні 15 до кожного з трьох рядків інформації у лівій колонці, виберіть один, на вашу думку, правильний варіант у правій колонці. Поставте позначки в таблиці «Відповідь до завдання» на перетині відповідних рядків і колонок.
Завдання №15
Установіть відповідність між числовими виразами (1 – 3) та їхніми значеннями (А – Д).
Розв'яжіть завдання 16-21. У клітинку "відповідь до завдання" введіть число. Якщо число містить дробову частину, то між цілою та дробовою частиною поставте КОМУ. Інші символи комп'ютерна програма відзначить як помилку.
Завдання №16
Компанія з б дорослих, з яких лише двоє мають відповідні посвідчення водія, сідають в автомобіль, у якому окрім місця водія є ще 5 пасажирських місць. Скільки всього є способів у цих 6 осіб зайняти місця в автомобілі, якщо на місці водія має бути особа з відповідним посвідченням?
Завдання №17
Знайдіть НАЙМЕНШЕ значення параметра а, при якому система  має єдиний розв'язок.
Завдання №18
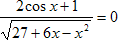
Розв'яжіть рівняння  . У відповідь запишіть кількість усіх його коренів. Якщо рівняння має безліч коренів, то у відповідь запишіть число 100.
Завдання №19
Знайдіть найменший додатний період функції f (x) = 9 – 6 cos20πx + 7 .
Завдання №20
Два кола, довжини яких дорівнюють 4π см і 25π см, мають зовнішній дотик. Знайдіть відстань між центрами цих кіл (у см).
Завдання №21
У чотирикутну піраміду, в основі якої лежить рівнобічна трапеція з бічною стороною 20 см і основами 32 см і 8 см, вписано конус. Знайдіть площу бічної поверхні конуса Sбічне (у см2), якщо всі бічні грані піраміди нахилені до площини основи під кутом 60°. У відповідь запишіть значення Sбічне/π.
|