Завдання 1-14 мають по п'ять варіантів відповіді з яких тільки ОДИН ПРАВИЛЬНИЙ. Виберіть правильну, на Вашу думку, відповідь і позначте її у таблиці "відповідь до завдання"
Завдання №1
Спростіть вираз  .
Завдання №2
Задані числа:  Укажіть правильну числову нерівність.
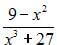
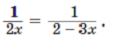
Завдання №3
Обчисліть  .
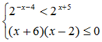
Завдання №4
Розв’яжіть нерівність | А | Б | В | Г | Д | | (−∞;−2)∪(3;+∞) | (2;+∞) | ( –3; 2) | ( −2; 3) | (−∞;−3)∪(2;+∞) |
Завдання №5
Укажіть нерівність, що виконується для | А | Б | В | Г | Д | | 1 – sin2α < 0 | cos α • tgα < 0 | cos2α + sin2α < 0 | 1 – cos2α < 0 | sin α • ctg α < 0 |
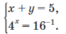
Завдання №6
Розв’яжіть систему рівнянь  . Якщо (х 0; у 0) – розв’язок цієї системи, то х 0 · у 0 =
Завдання №7
Серед наведених графіків вкажіть графік функції
Завдання №8
Укажіть непарну функцію, областю значень якої є проміжок  .
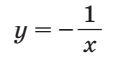
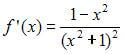
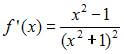
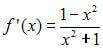
Завдання №9
Знайдіть проміжки зростання функції  .
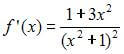
Завдання №10
Використовуючи формулу Ньютона – Лейбніца, обчисліть
Завдання №11
На діаграмі відображено кількість відвідувачів Музею Води протягом одного робочого тижня (з вівторка до неділі). У який день тижня кількість відвідувачів була вдвічі більшою, ніж у попередній день?
 | А | Б | В | Г | Д | | середа | четвер | п'ятниця | субота | неділя |
Завдання №12
До кола з центром у точці О проведено дотичну АВ ( В – точка дотику). ВС – хорда, що утворює з радіусом кола кут 35° (див. рисунок). Знайдіть градусну міру кута АВС. 
| А | Б | В | Г | Д | | 35° | 45° | 55° | 65° | 70° |
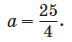
Завдання №13
Основою піраміди є ромб, діагоналі якого дорівнюють 20 см і 12 см. Обчисліть об’єм (см 3) піраміди, якщо її висота дорівнює 15 см. | А | 1800 | | Б | 1200 | | В | 2400 | | Г | 800 | | Д | 600 |
Завдання №14
Визначте відстань від точки A(–1; –3; 4) до координатної площини xz. | А | Б | В | Г | Д | | 1 | 4 | 5 | 3 |  |
У завданні 15 до кожного з трьох рядків інформації у лівій колонці, виберіть один, на вашу думку, правильний варіант у правій колонці. Поставте позначки в таблиці «Відповідь до завдання» на перетині відповідних рядків і колонок.
Завдання №15
Установіть відповідність між функцією (1 – 3) та координатними чвертями (А – Д), у яких розміщений графік цієї функції (координатні чверті показано на рисунку). | Функція | Координатні чверті | | 1 | y = –x2 – 1 | | 2 | y = x + 1 | | 3 |  | | | А | ІІ та ІV | | Б | ІІІ та ІV | | В | І, ІІ та ІІІ | | Г | І, ІІІ та ІV | | Д | І, ІІ, ІІІ та ІV | |
Розв'яжіть завдання 16-21. У клітинку "відповідь до завдання" введіть число. Якщо число містить дробову частину, то між цілою та дробовою частиною поставте КОМУ. Інші символи комп'ютерна програма відзначить як помилку.
Завдання №16
Визначте вартість (у грн) спожитої за місяць користувачем пільгової категорії електроенергії (див, фрагмент квитанції).  Урахуйте те, що тариф (вартість однієї кВт * год) становить 0,28 грн. Надана цьому користувачеві пільга полягає в тому, що за 75 кВт * год зі спожитих за місяць користувач сплачує на 25% меншевід їхньої вартості за тарифом.
Завдання №17
Розв'яжіть рівняння  . Якщо рівняння має один корінь, запишіть його у відповідь. Якщо рівняння має кілька коренів, запишіть у відповідь їх суму.
Завдання №18
Розв’яжіть рівняння  . Якщо рівняння має один корінь, то запишіть його у відповіді, якщо рівняння має кілька коренів, то у відповіді запишіть їхню суму. Якщо рівняння не має коренів, запишіть у відповіді число 100.
Завдання №19
Плавець під час першого тренування подолав дистанцію у 450 м. Кожного наступного тренування він пропливав на 50 м більше, ніж попереднього, поки не досягнув результату – 1000 м за одне тренування. Після цього під час кожного відвідування басейну плавець пропливав 1000 м. Скільки всього кілометрів плавець проплив за перші 12 тижнів тренувань, якщо він тренувався тричі кожного тижня?
Завдання №20
Два кола дотикаються, причому менше з кіл проходить через центр більшого кола (див. рисунок). Знайдіть площу зафарбованої фігури (у см²), якщо менше з кіл обмежує круг площею 16 см².
Завдання №21
Основою прямої чотирикутної призми ABCDA1B1C1D1 є прямокутник зі сторонами 4 см і 4√3 см. Площина, що проходить через вершини A, B1 і C призми, утворює з площиною її основи кут 60°. Визначте висоту призми (у см).
|